De Fysica van het Vastlopen
Een Wet voor Mentale Uitputting
Ik liep al een tijdje rond met een complexe vraag omtrent het concreet maken van lijden. Afgelopen weekend werd ik blootgesteld aan een complete overdaad prikkels, sensaties en interacties. Eerst op zaterdag uit eten bij het A1 All You Can Eat-restaurant; u weet wel, massa’s mensen, lawaai, geschreeuw, kinderen. Prikkels, in het moment okay, prima vol te houden maar soms wel wat veel. Daarna, met een middelmatig aantal uren onrustige slaap, op zondag naar de Ziggo Dome voor Froukje en S10. Superleuk, gezellige vibe - volstrekt veilig publiek - daar niet van, maar de weerslag op maandag en dinsdag was heftig. Een soort mentaal dal. En ik had geen druppel gedronken, dus ik voel mij geript zonder reden.
Ik heb gemerkt dat ik het herstelproces kan sturen. Door in te grijpen op de fysiologie – de GABA-receptoren forceren en dopamine dempen – kan ik rust afdwingen. Als ik die demping weghaal, keert de energie terug. Maar ik wilde het precieze proces snappen. Ik zocht naar een ‘wetmatigheid’, een soort natuurkundige formule voor deze sociale vermoeidheid.
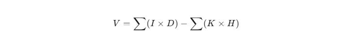
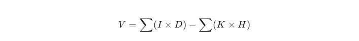
Wat we* vonden, is een principe dat we de ‘Wet van Herstel Deficit’ kunnen noemen.
Het is een harde, fysiologische wetmatigheid. Het stelt dat de mate van psychofysiologische Uitputting (V) het resultaat is van de som van de Intensiteit (I) en Duur (D) van opeenvolgende prikkelgebeurtenissen, verminderd met de Kwaliteit (K) van het tussenliggende herstel (H).
Mijn zaterdag (A1) was een enorme (I x D) waarde. Mijn herstel (de slaap) was matig, dus de (K x H) was veel te laag om dat te compenseren. Ik begon de zondag (Ziggo Dome) dus al met een herstel-deficit. De nieuwe, hoge (I x D) van het concert kwam daar bovenop. Het resultaat: het systeem schiet tekort. De totale V is te hoog en het kost dagen om dat deficit in te lopen.
En dit brengt me op de systeemkritiek. Want wie dienen de onbesproken, culturele wetten die ons (verbale) denken bepalen? Het enige narratief dat we momenteel hebben om deze ‘natuurkundige’ beperkingen van de geest te duiden, is de psychiatrie. Of via een vergelijkbare route: de Neurobiologie.
Maar de psychiatrie, die politiek gemotiveerd is, is fundamenteel ongeschikt om met een ‘ziektemodel’ de kaders van toelaatbaar denken te bepalen. Dit is de schizofrenie van de hele industrie (en ja, ik weet waar ik het over heb): het model pathologiseert een volkomen logische, fysiologische reactie. Het is een cultureel oordeel.
Deze culturele kaders behelzen vooral suggestie en het vergoelijken van machtsuitoefening. Ze maken je wijs dat jouw reactie op overbelasting een ‘karakterdefect’ is, een ‘stoornis’, of een kwestie van ‘schuld’. Ze introduceren complexiteit in iets wat in de basis puur natuur is.
De toekomst voor patiënten ligt in het doorbreken van dit narratief. We moeten duidelijk maken dat het bij deze wetmatigheden niet om schuld of karakter gaat. Het gaat om neurobiologie.
Het gaat om je thalamus (de poort) die bestookt wordt. Het gaat om je prefrontale cortex (het filter) die metabole energie vreet om de ruis te onderdrukken. En het gaat om je glymfatisch systeem (de schoonmaakdienst) dat ‘s nachts de tijd niet kreeg om het fysiologische afval op te ruimen. Dat is geen ‘ziekte’, dat is een uitgeput en fysiek vervuild orgaan.
In welke mate is dat ‘maakbaar’? Mijn eigen interventie (GABA/dopamine) bewijst dat het kan. Je kunt de fysiologie dwingen om de ‘UIT’-knop in te drukken die het zelf niet meer kon vinden.
Maar dat zijn de beperkingen en complicaties van de huidige technieken: we dweilen ná de overstroming. We hebben geen knopje nodig om ons mens-zijn te voelen. We hebben systemen nodig die ons mens-zijn en onze biologische grenzen respecteren, in plaats van ons te pathologiseren als we aan die onmogelijke systemen ten onder dreigen te gaan.
-We: “we” (ik en Google)




